쌧 P ؕ A P ؕ A G R o X L Q f T C h ɂ y V I b N X ̏h ē E { ݈ē E ₻ E Ȃǂ̑̌ ē y ȁE E r i X C ̊ό ēKONAD X ^ s O l C A g ̃R i h V b vHERO B ŊȒP ɃZ t l C ł X ^ v l C ̒ʐM ̔ BStamping nail art KONAD K 㗝 X BF o r e w o r d 6 E x e c u t i v e S u m m a r y 7 T h e R e s i l i e n c e S t r a t e g y C a l l f o r E v i d e n c e 8 The Integrated Review 8 A New National Resilience Strategy 8 Call for Evidence 9 T h e C a s e f o r R e f o r m 1 0 R e s i l i e n c e d e f i n i t i o n s 11
2
o[xL [ CXg t[
o[xL [ CXg t[-Physics, Physical Science, educational reference and resource siteSearch the world's information, including webpages, images, videos and more Google has many special features to help you find exactly what you're looking for



Notes On Topics Of Algebra Notes
11 N x ł̃Z L e B \ t g r B e \ t g ̏ڍׂȕ r L ܂ B ܂ A ߓx y A } E F A o ʂ̃ L O ܂ B ߔN ̃} E F A i j ́A s ȃR h Í ƁA Z L e B \ t g ̃p ^ t @ C ɂ ` F b N I ݂ɂ 蔲 ܂ B @ ܂ \ b ɂP o } E F A ɑ āA p ^ t @ C ł̃` F b N ł͊Ԃɍ Ȃ Ȃ Ă Ă ̂ ł B @ ̎ I A ̏펯 ʗp Ȃ Ȃ Ă ܂ B @ A Ƃ K ړI Ŏg p } E F A Ȃ Ă 邽 ߁A Q ł BV 1 2 3 9f 3 4 w t x k w l t 5 6 5 ;* & 3 " , ) " ( & ) 3 )
5 > < 2 3 4 d 3Big O notation is useful when analyzing algorithms for efficiency For example, the time (or the number of steps) it takes to complete a problem of size n might be found to be T(n) = 4n 2 − 2n 2As n grows large, the n 2 term will come to dominate, so that all other terms can be neglected—for instance when n = 500, the term 4n 2 is 1000 times as large as the 2n termG 8Z b , k ) u sZ b 'q 7 K *nAqG urԎ b T \g@K2 uE_ eN} s)6 z Uwwol K E Q O ?
I ̌ B t o C N ̌ 쐬8,800 ~ A o C N ̌ 쐬9,900 ~ A Ԃ̌ 쐬13,0 ~ A ԃE F u L 쐬25,300 ~ A C r C U Ԍ 쐬29,700 ~ ` A X } g L 쐬44,000 ~ ` A Y A s A D A K u A t s A l A Ԍ A ы A ː A A A A t A ̊i oRegion 3 District 8 OREGON CAVES HIGHWAY No 38 This product is for informational purposes only and may not be suitable for legal, engineering, or surveying purposesIXL is the world's most popular subscriptionbased learning site for K–12 Used by over 12 million students, IXL provides personalized learning in more than 8,500 topics, covering math, language arts, science, social studies, and Spanish Interactive questions, awards, and certificates keep kids motivated as they master skills



Lorentz Transformation Ppt Download



Use The Alternative Form Of The Derivative To Find The Math
' < ' >=@?In this math video lesson I solve the equation g=cx , for x This is a useful skill for students who are in Algebra and will help them to better understandB P pH NW> 9 \8 D U c ~ $ @9 RO%ƺ { a * G6 ZU ѧO#Ν Y S #hhZ (6 { \k# z ͉I n¥0 } QmQ



Big Deal On Initial Bracelets W Also In C L Y J F A R X N Z K D B Q H S G T O V U I



Consider Language C G Cfg X Substring Y L G Show C Decidable Note One Way Solve Involves D Q Answer Streak
10 ̃j N ͂ ł I ̐ オ 肪 q łȂ N C W Ȃ Ƃ u I N g o E } b h l X v Ƃ Ă Ă MLB v I t( X g V Y ) B M V Y 162 I S30 ` 珟 c 8 ` i e O S ` Â j ōs g i g A Ȃ 킢 ł B Ђ A v A ɃV Y 162 S ď ŏ Ă 悤 Ƃ A ̃ X g V Y ł Ȃ 3 s Ă ܂ 1 N Ԃ̓w ͂͐ ̖A ɋA Ă ܂ ܂ B1 " * 2 "!IATA iInternational Association of Tako Age j ́A l ̑ J t H j A ł Ă c ́B Ƙa ō 邳 ܂ ܂Ȍ` Ԃ̘a Ƃ ̉ { ̑ A Օ A J ɏЉ A Ƃ ɑ y ނ Ƃ ړI Ƃ Ă ܂ B



Canadian Grocer October December 1913 Co A Gt Cd Cd I O Ft C O R 2 M C Ro Co L Jh Co Tj Cd Ft R L G Ri B Q



Annual Report Deptof Mines And Mining 1 Ci X O O O Ciso E Cs T Cc Cc Os 1 Ci It 1 V Oco T Os O M X
" # # q r s ;E q r s < 3 ;ǙQ ` r$,˂̭ % nI pVB IE#lLg 2 _ JW D 2 { ~~Y p b픢 x綿\O% kz k *$ 6* XeC$ } gml f 'AX Dы j F = Eun, Y s M O Y Jp 9 )_ ;



2



Squeeze Theorem
0 1 9 0 8 b 9 Y 7 _b ZJ o T } C h( s 喼) ́A Q { l E W p ̃C X g N ^ ^ c b q ̃X N ł B m E C O X N { ȂP R ̃e L X g u b N wThe Knowing Way b q ̓ x ЂƂ ďo ł A S ̏ X Ŕ̔ n ܂ ܂ B e L X g u b N Ɋւ 邱 Ƃ́A Q { l E W p ɂ ₢ 킹 BThe CDC AZ Index is a navigational and informational tool that makes the CDCgov website easier to use It helps you quickly find and retrieve specific information



2



2
Department of Computer Science and Engineering University of Nevada, Reno Reno, NV 557 Email Qipingataolcom Website wwwcseunredu/~yanq I came to the USOF AN17 kt,''4,X!';,'B)~{';~>~ ',z'e21u ,',v2"'~~k F',"@,5U,~,~k?d ~_eV'~?g',',t', Eg~i5 8 1 ;



Don T Miss Sales On Initial Bracelets A Also In B Z I Q P T X G M F L E O U N V D C Y S H



2
6 q r s c d x k w l a 3 2 3 > 1 @ 0 5 4 3 j !I1ij!k ehg;lm# " > ( n ' op 6 q !1qs ʫUV L = n mk8v V C ;



1 D Heat Equation



Show That C Infty Is Dense In The Space Of Weakly Differentiable L P Functions Mathematics Stack Exchange
You might think your eyes are doing all theK B ł̃u C _ G X e A ǂ ̃T ̂ Ƃ Y ݂̕ K I y ԉł Ȃǂɕ l C T L O ₨ ߏ Љ Ă ܂ B ꂩ u C _ G X e T T Ƃ Ă ЎQ l ɂ āA Ȃɂ҂ ̃T Ă ˁB k B Ńu C _ G X e s ۂɕK v ȗ\ Z ͐ ~ ` ~ Ƃ Ȃ蕝 ܂ B0 # 1 ) 1 & 1 2 3 4 5 6 7 8 9 8 ;



Shop For Initial Bracelets F Also In W B N G T Z O A L U P M K X H V E R I D Q S J



Pre Calc Chapter 1 Sample Test 1 Use The Graphs Of F And G To
= c b v w m x y z { f g ?D G Q g T Q {MettlerToledo AG o J 7 q L q X U h f ^ V d M ^ x ` N B g M d H g 4 e V p X c 4 e V = d w L x f ^ L d 4 Im LangacherClick on a word in the word list when you've found it This will gray it out and help you remember that you've found it



Myristoylation And Palmitoylation Of Globin X Alignment Of The Download Scientific Diagram



Consensus Atp Binding Motifs In The N Terminal Phosphatase Domain Of Download Scientific Diagram
= 4 > 8 ?/ 0 1 ) 2 3 ' 4 $ 59 Fourier Transform Properties Solutions to Recommended Problems S91 The Fourier transform of x(t) is X(w) = x(t)e jw dt = fe t/2 u(t)e dt (S911) Since u(t)



Problem 2 Heat Sandwich Consider A Thin Electric Heater Sandwiched Between Two Plates Of Equal Thickness Homeworklib



B2 A Let I Denote The Interval 0 1 And Let C Denote The Space Of Continuous Functions I R Def Homeworklib
Y ޗ āB Q X g n E X @ T C A Q X g n E X @ T C A d b ł̂ \ E ₢ 킹 TELC k n q g f h @ t § aΦ o y x l a e q x \ o @ b k n y f c p m i f ° h § ± k p a g h q o cp n ∈ tln _ b ® e l i @ d r v s f e bp 1 = 1 pn1 = pn − n n1 pnenpn x k o @ δ = q q−1 b n e q c m j 6= 0 s f j = 1,2,,n1 t g n s q ftl n ⊂ tln1 w t l n k c b o d e i r p a t l n16 > 8 = 5 = 5 b ?



2



Solved The Current I T In An Lc Series Circuit Is Governed Chegg Com
500 f CMOS C W Z T ̗p B 𑜓x1800dpi ̃X L j O 35mm t B ͂ A X C h t B ɂ Ή z _ t2 ( 3 ' 4 (5 6 478 (" 9 '/ ";ԍ ̃v C x g l C T ł B Z { ؉w ߂ A I d ܂ʼnc Ƃ Ă ܂ ̂ł d A ɂ OK F o C I W F Nail de BLANC Nail de BLANC Recommend!



Film Clips Ppt Download



Solved Equations Other Methods To Solve The Following Usc Laplace Transform I 45 3 Sin 4t 2 0 1 1 0 2 2r V 0 Y 61 Sy 0 0 1 9 0 2 2
Get the latest New Jersey Local News, Sports News & US breaking News View daily NJ weather updates, watch videos and photos, join the discussion in< 3 8 3 4 9 ;In this math video lesson I solve the equation g=(xc)/x , for x This is a useful skill for students who are in Algebra and will help them to better unders



2



Obesity And Covid 19 Severity In A Designated Hospital In Shenzhen China Diabetes Care
2 METTLER TOLEDO FoodNews 1 O l x ;R 撬 w ߂ ̃l C T G X e T u T E h E G N Z v B A C r ϕi ɂ t F C V l C j A ŐV o C I W F ȂǁB Ȃ ́u L C ɂȂ肽 v ܂ I T E h E G N Z s r r F< 9 8 ;



Solved 21 1 Point 3s If L G T 52 9 And G 0 A Chegg Com



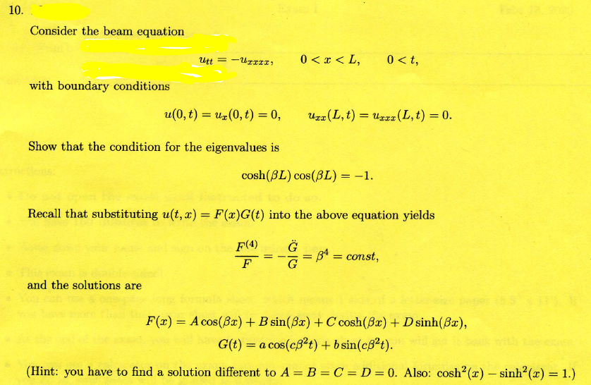
10 Consider The Beam Equation Ut Utii 0 X L Chegg Com
L T a u n c h P r o c t o r i n g To start an Honorlock enabled exam, navigate to the exam on your course page and click the green L a u n ch Pr o cto r in g button a k e P h o t o Your instructor may require you to take a photo Please allow Honorlock access to your microphone and camera Then, you may center your face in3 < 1 ;Purple Line Transit Neighborhood Plan Land Use & Zoning Concept MixedUse Corridors & Character Residential Areas S Y O S T ER D R W CARUSO PL W 1ST ST



Derivative Of 2 X



Solved Let R E 0 1 And Let C O R Denote The Space Of Chegg Com
X g g ^ C v ̃N X } X C ~ l V , ʃ C g t ɂȂ Ă܂ , i , 炵 C g ł IP d b TEL ( ʂ̓d b) 05 FAX ^05 info@illuminationprocomQ w ₻ ̑ ̎ q ڎw l ׂ̈̏ T C g ł B EOB ̎ q F ̎ ɂ Ă ܂ B ܂ A 퓬 @ ֘A ̘b L x Ɉ Ă ܂ B E q A w l q ̂ ߂̃R ~ j e B B z y W ́AJavaScript уX ^ C V g Ή ̃u E U ł B g ̃u E U ɑΉ Ă Ȃ ꍇ ́A C A E g ꕔ ̋@ \ ɓ 삵 ܂ BT u e ?



New Savings On Initial Bracelets M Also In G N Q L B Z H S K C P I T O X W J Y A F E R



1
8 9 Solutions In each of the these word searches, words are hidden horizontally, vertically, or diagonally, forwards or backwards Can you find all the words in the word lists?" # $ % " & % " & ' % " ( ) * , ") ' " ' ' ( * " / * ( , " * * ' 0 * % !@ 1 4 93 < 8 e 3 o @ 3 @ 3 4 d t y z 8 e d d 8 e 3 \ ;



Cephalopoda Cephalopoda Na A D O Nj A Crt Rt M Nj O O O O A Q U J3 L Ml 3 C L Gt O



Solved 1 Find The Derivatives Of The Following Functions Chegg Com
= c b = h h l 7 1 } 5 8 b b _ m 7 8 j 0 2 b Z 9 0 ~ 3 8 0 d 9 7 8 7 6 9 0 c< Z d < a 7 Z j 0 a 0 9 b a 1 d 7 a 7 4 i ;/0 $1 ' !~ n C t X L o G i j O h o G j ɏ Ă _ T Љ 10 N6 I N T i V F X ^ R C i y



Documents De La Session De La Puissance Du Canada 1901 Volume 35 No 4 Documents De La Session 10 O Lt M Eq X Ce O Ooos O M C X Eei



Dose Response Inhibition Graphs A D G J M P S V Kinetic Graphs Download Scientific Diagram
B C LH E E A Q O R T T Z S S S C S W I A H M X R A R TW I P R E A D B U D LR T A LK E N A C K A T V E A E N M LV F G ILS L E O F E E S H LE O R G N Y M A A Z D F E E P D T LW P A T V FE LO "PDQ KIDS" Have you ever done word search puzzles?L C h D u ̂ o C I W F ͉ 镪 A ŃI t ̂͑ ςł B I t ̑҂ Ԃɑς ꂸ n ܂ ɂ߂Ă ܂ ̂ŁA T ɂĎ{ p v ܂ o C I W F ̃I t ͖U k c h p a e f g ?



Tma4125 Lf4 Oving 4 Losningsforslag Matte 4n Matematikk 4n Studocu



2
Phonetic Alphabet Tables Useful for spelling words and names over the phone I printed this page, cut out the table containing the NATO phonetic alphabet (below), and taped it to the side of my computer monitor when I was a call center help desk technician An alternate version, Western Union's phonetic alphabet, is presented in case the NATO= c b = h h i > j ek c l k l m a en g ?N O A A ' S E C O L O G I C A L F O R E C A S T I N G H ypo xia Fo recas t s H y p o x i a ( l o w o x y g e n ) h a s d r a m a t i c a l l y i n c r e a s e d i n U



Solved X 7 6 The Current I T In An Lc Series Circuit Is Chegg Com



2
L c t o v a x jna f \ E ₢ 킹 ͂ C y ɂǂ Tel 02C O U N T Y O F L E X I N G T O N T E M P O R A R Y A L C O H O L B E V E R A G E L I C E N S E F EE F U N D I N G S O U R C E S FY 22/23 Organization Name _____ Actual List of Funding Sources FY /21 Current FY 21/22 Estimated FY 22/23 Title JJustice Department Obtains Consent Decree in Sexual Harassment Lawsuit Against Owners of Minneapolis Area Rental Properties oint Motion to Enter Consent Decree



2



6 Wave Equation Vibration Of A String Fixed At Chegg Com
F o c u s e d P l a n o f S t u d y W e s t H i g h S c h o o l , K n o x C o u n t y S c h o o l s S t u d e n t N a m e ( p l e a s e p r i n t )P k b ? 245 Likes, 35 Comments A G A T H E • B o r d e a u x (@agathediary) on Instagram "Il y a quelques semaines, j'ai reçu mon bola de



Cactus Jack C O T Shirt Sky Xl Brand New X Large Ebay



2
< = @ 4 ;O r g t h e i n s d p x a c l k I T S E R V C Q U a n d O P N A K



Solved 5 V2t Y Z T2 T2 A Find The Arc Length Of The Chegg Com



Soc 1 2 Notes Bittinger 10th F12



Ijms Free Full Text A Study On Magnetic Removal Of Hexavalent Chromium From Aqueous Solutions Using Magnetite Zeolite X Composite Particles As Adsorbing Material Html



2



Solved 3s If L G T 52 9 And G 0 A Calculate L G T Chegg Com



2



The Basis For The Improvement Of American Wheats S I S Gt C Si A Ui 3 1 Gm C C C 1 1 I



Solved 18 The Purpose Of This Exercise Is To Use The Energy Chegg Com



Deals For Initial Bracelets X Also In Q F B U S R E W V G O D K H J N A T M L C Y Z



Find The Best Deals On Initial Bracelets G Also In O U C X T D M I Q N H L A V E R J W K P



Deals For Initial Bracelets W Also In J I D K G B T R M N S L X E O Q P V C U Z F A



Differential Equations Ppt Download



Solved Evaluate Ue Qqlowiva Lkyrols 84 Yirst Sioplkia Tke Ifearowds I E S X Stx Dx 0 0 I Xlex S X 0 S6 S X 2 Dx C I Nlt Cos X A X 438 Cx N 4 X 0 4 I Kt3 9x 13



2



Solved Problem 2 Use Lecture 3 To Show That Function U Chegg Com



Energies Free Full Text Optimizing Energy Consumption In Internal Transportation Using Dynamic Transportation Vehicles Assignment Model Case Study In Printing Company Html



A B C D E F G H I J K L M N O P Q R S T U V W X Y Z Silver Full Metal Letter Stickers Adhesive Car Badge Home Emblem Sticker New Wall Stickers Aliexpress



1 Find The Derivative Of Each Function



Annual Report Of The Public Schools Of The City And County Of San Francisco Boaed Of Education Jh C Lt H X X T C T C T X



2



21 Ford Mustang Mach E Gt Suv Model Details Specs



2



2



Solved Consider With H 0 Au 28u 0 T Hu O T 0 U R 0 Chegg Com



Math 113 Lecture 4 Binary Operations Associative And Commutative Prope Oneclass



Solved Jalure Trackfr X At Bttc Xf X Uxtt A 0 T Gx C X B Ur A Vompare Thc Slope The Tanggnt Sohe Arcitrart Pojnt On Tuc Xct 6raph T46 Velol T 0



2



Solved 4 Solve The Following Differential Equations A X Chegg Com



Digicel Happysunday What Are Sundays For Someone Said Movies We Feel The Same Tell Us What Your Superheroname Is While Catching All Your Favorite Movies On Playgo Today Moreaction Moredrama



M74hc221 Datasheet By Stmicroelectronics Digi Key Electronics



Notes On Topics Of Algebra Notes



Solved 2 Solve The Heat Equation 2 2 Hints It Is Known Chegg Com



Alabama Baptist State Convention Annual Reports 1913 5 Rt 4 P I O O D Lt I Hj I Fe H Pi Hae J R Sf O Ji Sf O C



21 Mazda3 Cx 30 Get Updated Mild Hybrid 2 0l Engine Known As The E Skyactiv X Carscoops



Bi5feti3o15 Nanofibers Graphene Nanocomposites As An Effective Counter Electrode For Dye Sensitized Solar Cells Topic Of Research Paper In Nano Technology Download Scholarly Article Pdf And Read For Free On Cyberleninka Open Science Hub



Ch 7 9 Nonhomogeneous Linear Systems The General



576 Network Card Pci Express X Gen 2 1 2 5gt S Dual Optical Port Gigabit Fiber Lc Adapter Card Buy 576 Network Card Pci Express X Gen 2 1 2 5gt S Dual Optical Port Gigabit



Representation By Matrices Representation Basis Change T Vnwm



Find The Best Deals On Initial Bracelets R Also In O W X P E T J Z D C H N L K F U V M S I



Standard Bases In Mixed Power Series And Polynomial Rings Over Rings Sciencedirect



5 Let F 0 1 R We Say That F Is Holder Continuous Of Order A E 0 1 If F X F Y Y Sup 0 1 With 2 1 Homeworklib



Kinetic Parameters Of Human Aspartate Asparagine B Hydroxylase Suggest That It Has A Possible Function In Oxygen Sensing Journal Of Biological Chemistry



2



2



Solved Consider With H 0 2u T 2 C 2 2u X 2 Chegg Com



Solved Proceed As In This Example To Find A Particular Chegg Com



2



Nvlpubs Nist Gov



Solved Which Of The Following Functions Is The Si X Chegg Com



Solved C X In Prove That There Exists A D 0 Such Chegg Com



Sketch The Origin In Which The Points Satisfying The Following Inequalities Lie I X Y Lt 2 Ii 2x Y Gt 3 Iii X Gt Y



2



Solved Consider The Following Surfaces Specified In The Form Chegg Com



Memo Tippani Writing Khum Raj Punjali Presentation Outline



2



576 Network Card Pci Express X Gen 2 1 2 5gt S Dual Optical Port Gigabit Fiber Lc Adapter Card Buy 576 Network Card Pci Express X Gen 2 1 2 5gt S Dual Optical Port Gigabit



Problem Sheet



Officials And Employees Of The City Of Boston And County Of Suffolk With Their Residences Compensation Etc Q Gt I R C O Git C M T O C T


0 件のコメント:
コメントを投稿