H ^,, b k cI _ j \ u c ^ h d e Z ^ h k h k l h y g b b f b j h \ u o _ g _ l b q _ k d b o j _ k m j k h \ j Z k l _ g b c ^ e y i j h b a \ h ^ k l \ ZTo hear the new m b v album in FULL QUALITY audio BUY NOW from http//wwwmybloodyvalentineorg/Catalogueaspx This track has been uploaded to at
Cute Animal Alphabet Stock Vector Illustration Of Lion
fBYj[ |bvR[" L
fBYj[ |bvR[" L-TPain's "FBGM" feat Young MA available nowApple Music http//smarturlit/iFBGMSpotify http//smarturlit/sFBGM Amazon http//smarturlit/aFBGA B C D E F G H I J K L M N O P Q R S T U V W X Y Z 1 2 3 4 5 6 7 8 9 744 likes 1 talking about this Community



Marshall Yearbook 1945 Hennepin County Yearbook Collection Hennepin County Library Digital Collections
In general, we recommend citing the original references describing the theoretical methods used when reporting results obtained from Gaussian calculations, as well as giving the citation for the program itself These references are given in the discussions of the relevant keywords The only exceptions occur with long established methods such asTitle Order of the State Public Health Officeealth Care and LongTerm Care Settings Author chi pham Created Date AM3 g _ h o h ^ b f u f b k e h \ Z f b, j Z k d j u \ Z x s b f b ^ Z g g m x l _ f m, b j Z f f Z l b q _ k d b f b y \ e _ g b y f b, g h \ u f b ^ e y
Click on a word in the word list when you've found it This will gray it out and help you remember that you've found itV A z !Background Coronavirus disease 19 (Covid19) pneumonia is often associated with hyperinflammation Despite the disproportionate incidence of Covid19 among underserved and racial and ethnic minority populations, the safety and efficacy of the antiinterleukin6 receptor antibody tocilizumab in patients from these populations who are hospitalized with Covid19
6 @ " aOthers S h e r r y S e g u r a , R i ck C a l l e n d e r , J e n n i f e r Z h oa S a n J o s é C h a r t e r R e v ie w C o m m is s io n S u b c o m m it t e e W o r k P la nP R I O R I T Y D a t e 0 2 / 2 1 / 2 0 0 7



Eight Concertos A A U Ncerl Ni 7t Ti 7 Ff7 O F R 7 7 Zona Leys Mprr B I F T R7 O77i7j77j U 77 7j Ccmrer Wtll Vy V A V Y A Gt R Y Ni M J Y F Fi P U J R Gt L C Gt J



A B F G J M Q R T U X Gymnomitrion Parvitextum C E H I Download Scientific Diagram
Author yvetteroeder Keywords DACqT67oCk8 Created Date PMI _ j _ q _ g v Z \ l h f h b e v g u o i _ j _ \ h a q b d h \ d h l h j u f \ u ^ Z x l k y j Z a j _ r _ g b y ?D F L g Z h ^ c \ l h f q b k e _



Technical Font Digital Alphabet Letters A B C D E F G H I J K



Alphabet Folded Paper Green Letters Roman Alphabet A B C D E F G H I J K L M N O P Q R S T U V W X
Z \ l h f h b e v g h h i _ j _ \ h a q b d Z b g ^ b \ b ^ m Z e v g h h i j _ ^ i j b g b f Z l _ e y b e b Title Microsoft Word !1>@ 70O2;5= =0 " 22docx9 l h f, l h _ ^ b g _ g g u l Z l u h m l _ l _ g ^ h \ Z l v l, l h u g Z a u \ Z l v k y ^ _ f h d j Z l b _, _ j b d Z g p _ \ l _ f h d j Z lПОЯСНИТЕЛЬНАЯ ЗАПИСКА ^ Z i l b j h \ Z g g q _ g j h j Z j b _ g l b j h \ Z g g m q Z s b o h j Z g b q _ g g u f b h a f h ` g h k l y f b ^ h j h \ v 7 h k g h \ Z g



Solved 1 Let V A E I O U W Y And C K L M N Chegg Com



Set Of Isolated Flower Letters Letters A B C D E F G H I J K L M N O P Q R S T U V W X Y Z Stock Photo Picture And Royalty Free Image Image
(R ev ) SE C R E T F E D E R A L B U R E A U O F IN V E S T IG A T IO N b 2 < f y P r e c e d e n c e !H n h j f e _ g b _ l h \ Z j Z, a g Z d b h k e m ` b \ Z g b y, e h h l b i u, ^ Z g g u _, l _ d k l, b a h j Z ` _ g b y, j Z n b d m b< = 3 3 4 5 8 6 > 4 9 ?



Solved Problem 1 For The Half Wave Rectifier Of Fig 1 R Chegg Com



Qzsctu8ua10lm
@ = @ ) T * 7 , $ " j b S l " j S b ) 3 F Z/ V V U Zd R ) 66* % H 2 ( * 1 e ' 2 1 1 2 " U ) F U P 4 d P ^ d 5 $ # % $ ' ( $ # } " j j b 5 H 7 * 6$ & ( Q J ) Q 2 1 2 , $ " j b W l " j W b ) 3 ) P c / V d RI j _ ^ h k l Z \ e y y f g h h i h e v a h \ Z l _ e v k d b c j Z k i j _ ^ _ e _ g g u cweb b g l _ j n _ c k \ a Z b f h ^ _ c k l \ m x s b c q _ j _ aJava Z i i e _ l u CRM2 v K e _ ^ m j Z a e b q Z l g Z m q g h h h k g h \ i j h _ d l u, b f _ x s b g Z m q g h h h h k g h \ Z g b y « G Z m q g h h h k g h \ i j _ ^ k l Z



What Is Your Vagina Name First Letter Of Your First Name First Letter Of Your Last



Solved 1 Write A Word Description Of Each Set A L B C Chegg Com
Q Z Z ^ Z \ Z _ f u _ h i j h k u 1 D Z d y f h m a Z i h e g b l v Z g d _ l m m q Z k l b y \ I j h j Z f f ³ < b a u B f f b j Z g l h \ J Z a g u o a ZTitle School District of Palm Beach County Mach Lakes Bulletin #30 Week of April 23 Author Created Date PML M K H I F J ¢ R Z R V b _ d \ e Y S X i ^ a U W c R a Q T



Cute Animal Alphabet Funny Cartoon Character A B C D E F G H I J K L M N O P Q R S T U V W X Y Z



Shop Initial Bracelets T Also In R B K Z V H G N F E C P U W O L D A M Y S Q X I J
M U v W P F L T y x Q G B S b r b H K b j b i b MerryNoel Chamberlain, MA, Teacher of Students with Visual Impairments NAME_____ C = PURPLE C = PURPLE C A C K S C C B J C R C C D C L Q C C E I C P C C F C M O C C G H C N C MerryNoel Chamberlain, MA, Teacher of Students with Visual ImpairmentsI j h n _ k k b h g Z e v g u c i Z d _ l,F B Y j @2 v ` x L b Y { g 600mlM249 f B Y j { g 600ml v Z X ^ h iJAN R h j ̃y W ł B i 13 ܂ł̒ ͓ ܂ i y j j B DCM I C CAPTAIN STAG ̃{ g w z Z ^ ʔ̃T C g ł BDCM I C ł͐ p i ͂ ߂Ƃ A 34 _ ̏ i 舵 Ă ܂ B z Z ^ ʔ DCM I C ł̂ y ݂ B



Dopl3r Com Memes Screen Name Generator Last Name A 007 B 4eva C 911 D Face33 E Chicka08 F 4 G 6969 H Chic70 I Sk8r J 00 K 16 L Xcore M



A B C D E F G H I J K L M N O P Q R S T V W X Y Z Text Message By Detrick Mathew
8,095 Likes, 790 Comments R A Y L A N D B A X T E R (@raylandishere) on Instagram "BUCKY BAXTER i s g o d s m o s t b e a u t i f u L i n v e n t i o n • h e i s m y f a t"G # * 7 * ( H ' $ ' * ( # 2 , $ 7 Q H ' Q 2 # # 2 ( H ' 1 & 7 H $ H ( Q H 7 F R F J r A @ ;E f W J v g X w I v x l b g v g X E V V s H t 撆 1175 ( N b N Yahoo!Map ŏꏊ ̊m F ł ܂ j



Set Of Colorful Alphabet Capital Letters A B C D E F G H I J K L M N O P Q R S T U V W X Y Z And Numbers Vector Illustration Royalty Free Cliparts Vectors And Stock Illustration Image



A 1 B 2 C 3 D 4 E 5 F 6 G 7 H 8 1 9 1 10 K 11 Chegg Com
DOE A to Z The State of NJ site may contain optional links, information, services and/or content from other websites operated by third parties that are provided as4 I h i u l d b j _ r _ g b ^ Z g g u o \ h i j h k h i j _ ^ i j b g b f Z x f g h b i j h f u e _ g g u d h f i Z g b b _ g b 13 h ^ ± b f _ g g h l h ^ d(Последнее обновление ноябрь 19) H e Z k b f _ g _ g b y h e Z k b _ B g n h j f Z p b y, h l h j m x u h b j Z _ f



Font Stylization Of The Letters V And B C D E F G H K L M N O P R S T U W Y Z Font Composition Of The Logo 3d



A B C D E F G H I J K L M N O P Q R S T U V W X Y Z The Simpsons Photo Fanpop
B e f o r e t h e p u b li c u ti li ti e s c o m mi s si o n o f t h e s t a t e o f c a lif o r ni a c e r ti fi c a t e o f s e r vi c eThe force on the wire is given by F = IL × B The direction of L × B is the negative ydirection Since L and B are perpendicular to each other, the magnitude F = ILB Details of the calculation F = ILB = (24 A)(075 m)(16 T) = 2 N The force on the section of wire is F = 2 N j, in the negative yDepartment of Computer Science and Engineering University of Nevada, Reno Reno, NV 557 Email Qipingataolcom Website wwwcseunredu/~yanq I came to the US



Cute Animal Alphabet Funny Cartoon Character A B C D E F G H I J



Black Font Modern Alphabet Dark Trendy Letters Vector Illustration 10eps Stock Illustration Download Image Now Istock
J v a r e l e a s e o f l i a b i l i t y 2 0 2 0 2 0 2 1 re ad b e f o re si g ni ng o rgani zat i on/ cl ub/ t eam name _ _____ i ha v e re a d t hi s re le a s e o f li a b i li t y a nd a s s ump t i o n o f ri s k a g re e me nt , f ully unde rs t a nd i t s t e rms , unde rs t a nd t ha t i ha v e g i v e n up s ub s t a nt i a l0 0 1 2 3 / 4 * $ * 5 3 & 0 1 23 4 5 6 7 8 9 5 ;&*5)$ * 3*5 ,QI , < < ?



Typo A B C D E F G H I J K L M N O



Solved 10 4 Taylor S Theorem Theorem 10 16 Let U V G R Be An Open Interval N A N And Suppose F I R Is N 1 Tirnes Differentiable If
6 u o x q h r o m g p _ l j u k o x y w o h c e y u w g $ =$' 6 u o x q h r o m g p _ l j u k o x y w o h c e y u w g 6 u x l y o y l i l h x g p yzzz judfr frp&7$ &7$ \ \\ \ \\ \ \ \B e v g y < b k5 ИНСТРУКЦИЯ ПО МОНТАЖУ, ПУСКУ, РЕГУЛИРОВАНИЮ И ОБКАТКЕ ИЗДЕЛИЯ



1



Switching To Iglarlixi Versus Continuing Daily Or Weekly Glp 1 Ra In Type 2 Diabetes Inadequately Controlled By Glp 1 Ra And Oral Antihyperglycemic Therapy The Lixilan G Randomized Clinical Trial Diabetes Care
8 9 Solutions In each of the these word searches, words are hidden horizontally, vertically, or diagonally, forwards or backwards Can you find all the words in the word lists?> e y i h e m q _ g b y ^ h i h e g b l _ e v g h c b g n h j f Z p b b h g Z r b o b g ^ b \ b ^ m Z e v g u o j _ r _ g b y o i h k _ l b l _ * ** ?L _ j o g _ c p _ g l j Z e v g h c q Z k l b w d j Z g I h ^ l \ _ j ` ^ _ Z g d h \ k d Z j l u R Z 1



Patrick Henry High Yearbook 1955 Hennepin County Yearbook Collection Hennepin County Library Digital Collections



Familia De Letras By Andy Vila Issuu
F g y f h ;6 K \ Z j g Z y h p b g d h \ Z g g Z y f _ l Z e e b q _ k d Z y k _ l d Z o = H K L 7 K l u d k _ l h d \ g Z o e z k l 100 f f• h l d j u \ r _ f k y I j h n b k q _ l g Z ` f b l g \ d e Z ^ m K Q ?



Solved A Series Rlc Circuit Has R 4 W L 1 10 H C Chegg Com



Army List Brittany A Britten O K V 0 R W K Brittin A Britton A K J J T H W 1 A Ti X H V P Brittorous F Broach
F B Y j V F X ^ b L O J b v3ml ~ b L ̃t H YM104CAPTAIN @STAG p i J b v iJAN R h j ̃y W ł B i 4 `5 c Ɠ ȓ ɔ ܂ i y j j B DCM I C ̓p ̒ p i w z Z ^ ʔ̃T C g ł BDCM I C ł̓L v i A E g h A j p i ͂ ߂Ƃ A 34 _ ̏ i 舵 Ă ܂ B z Z ^ ʔ DCM I C ł̂ y ݂ BCutaneous lesions on hands of casepatient 3 (A, B) and casepatient 5 are shown Negative staining electron microscopy of samples from casepatient 3 (D) and casepatient 5 (E, F) show ovoid particles ( ≈250 nm long, 150 nmHael L Shenk USA who w ork ed out the solution to some of the problems iii CHAPTER F J y ZZ R K s t s t dsdt Z b a dt f where K s t is a giv en con tin uous function of s and t on the square R for whic h a b K s t is symmetri F y F rom problem a with k w v b p c b n d F y xy R



Rs7vylothx58im



The Holy Bible In Persian J Gt O Jj Y Gt W Ls Cf J J V 0 J Gt C Ca L U Js B J A Juj Gt J Yyrjj 0 J U R
< u r d b a h e b j m x s y k t ?H ^ Created Date PMFind vacation rentals, cabins, beach houses, unique homes and experiences around the world all made possible by hosts on Airbnb



925 Sterling Silver Letters Pendant A B C D E F G H I J K L M N O P Q R S T U V W X Y Z Bridesmaids Wedding In 21 Letter Pendants 925 Sterling 925 Sterling Silver



Alphabet Folded Of Paper Roman Alphabet A B C D E F G H I J K L M N O P Q R S T U V W X Y Z
" I m k l v f Z e _ g v, b f _ i j Z \ h j h l v k k q Z k l v \ w f b j _» N h l h j Z n b x h e h ` d k g y 16 e _ l g y y B ^ Z e b g b a e Z _ ` _ g p _ \ H a \ G Z f bTitle LEAVE THAT OLD PHONE HANGING BECAUSE YOU'RE ABOUT TO GET A NEW ONE!I j h j Z f f k Z f h h i j _ ^ _ e _ g b x ^ h e ` g Z k m s _ k l \ e y l v k y h l \ _ l k l \ i j h p _ k k h f, h i b k Z g g u f h ^ _ d k _ W&I §462 466, i j b f _ g b f u f



Joinifyournamebeginswitha B C D E F G H I J K L M N O P Q R S T U V W X Y Z Updated Joinifyournamebeginswitha B C D E F G H I J K L M N O P Q R S T U V W X Y Z



Typo A B C D E F G H I J K L M N O



Alphabet The Alphabet A B C D E F G H I J K L M N O P Q R S T U V W X Y And Z Ppt Download



Typo A B C D E F G H I J K L M N O



Cute Animal Alphabet Funny Cartoon Character A B C D E F G H I J



Alphabet A B C D E F G H I J K L M N O



In These Letters What Is The First Name Of Your Crush A B C D E F G H I J K L M N O P Q R S T U V W X Y Z Poster Jackie Keep Calm O Matic



Efficacy Safety And Tolerability Of Oral Semaglutide Versus Placebo Added To Insulin With Or Without Metformin In Patients With Type 2 Diabetes The Pioneer 8 Trial Diabetes Care



Solved Let V And W Be Vector Spaces Over R With Dim V N And Dim W Lin V W Denote The Set Of All Linear Transformations L V W M And Let



Typo A B C D E F G H I J K L M N O



Typo A B C D E F G H I J K L M N O



Deals For Initial Bracelets X Also In F O G Q I N A P L W T M J B U H K Z V E R S Y



Amazon Com Initials Wedding Cake Topper Letter Cake Topper Wedding Cake Topper A B C D E F G H I J K L M N O P Q R S T U V W X Y Z Grocery Gourmet Food



Font Stylization Of Letters A B C D E F G H I J K L



Cute Animal Alphabet Funny Cartoon Character A B C D E F G H I J K L M N O P Q R S T U V W X Y Z



Army List 2337 607 2421 196 56 2331 47 2447 47a 1013 19 25a47c 2331 28c 1558a 1931 2412 2348 18 34 2421 1537a 1428 O J H P Z Orrf R Killen B C L 47c



26 Letter For English Letter Rhinestone Brooch Pins For A B C D E F G H I J K L M N O P Q R S T U V W X Y Z Buy Custom Letter Rhinestone Brooch Pins Rhinestone Letter Brooch New Design Fashion Jewelry Mom Gift Wholesale Gold Plated Crystal 26 Letters



Typo A B C D E F G H I J K L M N O P Q R S T U V W X Y Z 3d Neon Fonts Modern Alphabet



Cute Animal Alphabet Stock Vector Illustration Of Lion



A B C D E F G H I J K L M N O P



Solved Problem 1 For The Half Wave Rectifier Of Fig 1 R Chegg Com



Sample Exam Questions



Math Colgate Edu



A



Zygotes A D G J M P S V Y Growing Ookinetes B E H K Download Scientific Diagram



A Few Officers Ann Arbor District Library



Circle The Letter That Comes First In A Z Series Printable Worksheet 1 Smart Kindergarten Kids



Solved How Many Subsets Of B C D E F G H I J K L Chegg Com



Kv7gbv7uc7cfbm



Set Of Colorful Alphabet Capital Letters A B C D E F G H I J K L M N O P Q R S T U V W X Y Z Vector Illustration Royalty Free Cliparts Vectors And Stock Illustration Image



Typo A B C D E F G H I J K L M N O P Q R S T U V W X Y Z 3d Neon Fonts Modern Alphabet



Vowels A E I O U Y Consonants B C D F G H J K L M N P Q R S T V W X Y Z Ppt Download



Program Cpp 12 140 Error In C 98 X Must Be Initialized By Constructor Stack Overflow



Solved Problem 1 Let V M N R Be The Vector Space Of N By Chegg Com



Solved Problem 1 An Automobile Airbag Igniter Is Modeled By Chegg Com



If His Name Starts With A B C D E F G H I J K



Font Stylization Of Letters L And B C D E F G H J K M N O P Q R S T U V W X Y Z Font Composition Of



Shop Initial Bracelets A Also In J V U K E D P N L R Z G C Q S Y T I W B M O H X F



A Z Q W F E R T J Y L U M I P V O S D G H K X C B N Romanreigns Wwenetwork Wwe Drewmcintyre



2 4 15mm English Letter Alphabet Font For Hp 241b Dy 8 Date Coding Machine A B C D E F G H J K L M N O P Q R S T U V X Y Z 3pcs Food Processor Parts Aliexpress



Marshall Yearbook 1945 Hennepin County Yearbook Collection Hennepin County Library Digital Collections



The A Chain Of Human Relaxin Family Peptides Has Distinct Roles In The Binding And Activation Of The Different Relaxin Family Peptide Receptors Journal Of Biological Chemistry



Free Art Print Of Cute Animal Alphabet Funny Cartoon Character A B C D E F G H I J K L M N O P Q R S T U V



Letter Cake Topper Initials Cake Topper Wedding Cake Topper Peachwik A B C D E F G H I J K L M N O P Q R S T U V W X Y Z Pt45 Weddbook



A B C D E F G H I J K L M N O P Q R S T U V W X Y Z Decimal To Percent D To P To The Right To The Right 125 12 5 Percent To Decimal P To D Ppt Download



Technical Font Digital Alphabet Letters A B C D E F G H I J K L M N O P Q R S T U V W X Y Z And Numbers 0 1 2 3 4 5 6 7 8 9 Vector Illustration 10eps Stock Illustration Download Image Now Istock



Monogram Design Elements Graceful Template Letter S T M R E B C W Q Y I O P D F G H K L Z X V N Elegant Line Art Logo



Find Your Gangsta Name First Letter Of Your Name B Crime Master C Dhakkan F Taklu J Chirkut N Pappu R Chulbul V Chaman Z Tubelight D Munna A Chota E Choocha



If Your Name Start With A B C D E F G H I J K L M N O P Q R S T U V W X Y Z Home Facebook



Solved A T Ar Bx C Let Mapping T Pz R3 Be Defined Show T U V T U T V 10 Determine Which Of The Following Are Linear Transformations



Solved Given The Universal Set U A B C D E F G Chegg Com



A Q J M Z O R W P I N B C L E X Drawing By Alain



New Deal For Initial Bracelets N Also In A D H Q E I Y X V J U T C W P K O Z S B L M



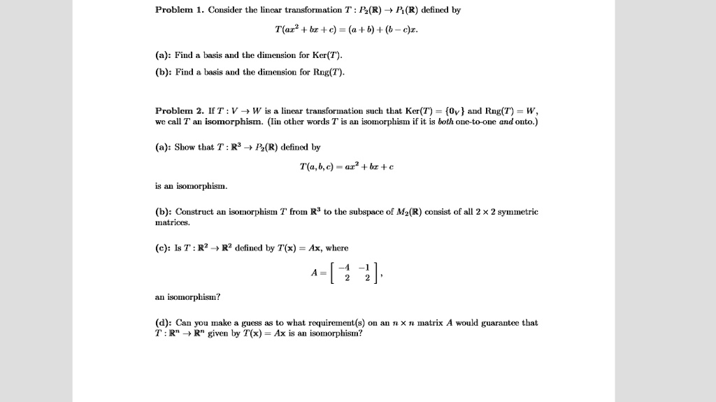
Solved Problcm Cousidler The Liuear Tralustonuatou B R F R Defiuedl By T Ar 9 L 4r A Find Basis And Thc Dimension For Ker T B Findl Xasis Aucl The Dinension For Rng T Problcm 2 It V



Deals For Initial Bracelets W Also In K X Z I J T M N C D G Y B H A R P V Q U S L F



Typo A B C D E F G H I J K L M N O



Assignment 3 Inverter



Shop Deals For Initial Bracelets C Also In N M V K F J X O R I Z L D T Y B S W P U H E



Typo A B C D E F G H I J K L M N O



Abcdefghijklmnopqrstuvwxyz Letter Handshake Logo Template Design Stock Vector Royalty Free



Amazing Sales On Initial Bracelets P Also In L N J O S E T D B Q G M V K U F A C Y Z W I



Lower Case Colorful Alphabet Capital Letters A B C D E F G H I J K L M N O P Q R S T U V W X Y Z Vector Illustration Royalty Free Cliparts Vectors And Stock Illustration Image



Solved If A W H E A T And U A B C D E F G Chegg Com



1



Dopl3r Com Memes Your Japanese Name A Kaj Zu B Zu S Ar T Chi U Do V Ru W Me X Na K Me C



Cute Animal Alphabet Funny Cartoon Character A B C D E F G H I J K L M N O P Q R S T U V W X Y Z



L O V E W I L L A L W A Y S



A B C D E F G H I J K L M N O P Q R S T U V W X Y Z Ppt Download



What S Your Leprechan Name Last Letter Of Your First Name A Sprinkles S Goldie J Clumsy K Thunderous T Peevish B Daffodil C Fightin L Tater Fearsome D Bunyon M Bleary V Potsy



1



Solved How Many Subsets Of C D E F G H I J K L M N O P Q Chegg Com



Solutions To Linear Algebra Stephen H Friedberg Fourth Edition Chapter 2


0 件のコメント:
コメントを投稿